• Предмет: Математика
  • Автор: GenoSans
  • Вопрос задан 9 лет назад

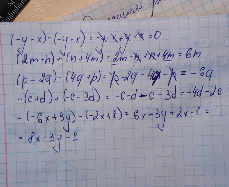
(-y-x)-(-y-x)
(2m-n)+(n+4m)
(p-2q)-(4q+p)
-(c+d)+(-c-3d)
-(-6x+3y)-(-2x+1)
упростить/решить
заранее спасибо

Ответы

Ответ дал: KK7B
0
Вот пожалуйста Ваш ответ
Приложения:
Вас заинтересует