Ответы
Ответ дал:
0
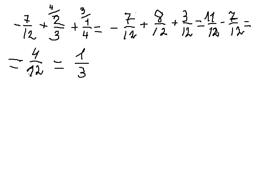
-7/12x+2/3x-1/4x=x(-712+23+14)=х( -712+812+312)=х*13=13х
Приложения:

Ответ дал:
0
Спасибо❤❤❤❤❤
Вас заинтересует
2 года назад
7 лет назад
7 лет назад
9 лет назад
9 лет назад
10 лет назад