Ответы
Ответ дал:
0
решение на фото внизу.если что не понятно-пиши.
Приложения:


Ответ дал:
0
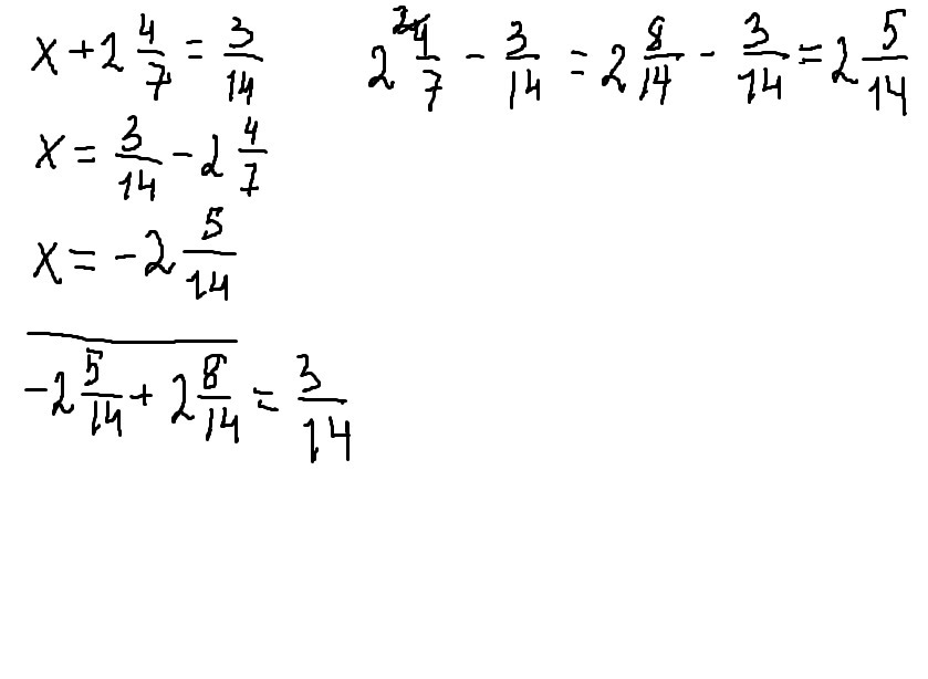
а)х+2 4/7=3/14 2 4/7=18/7
х=3/14-18/7=3/14-36/14
х= -33/14= -2 5/14
х= -2 5/14
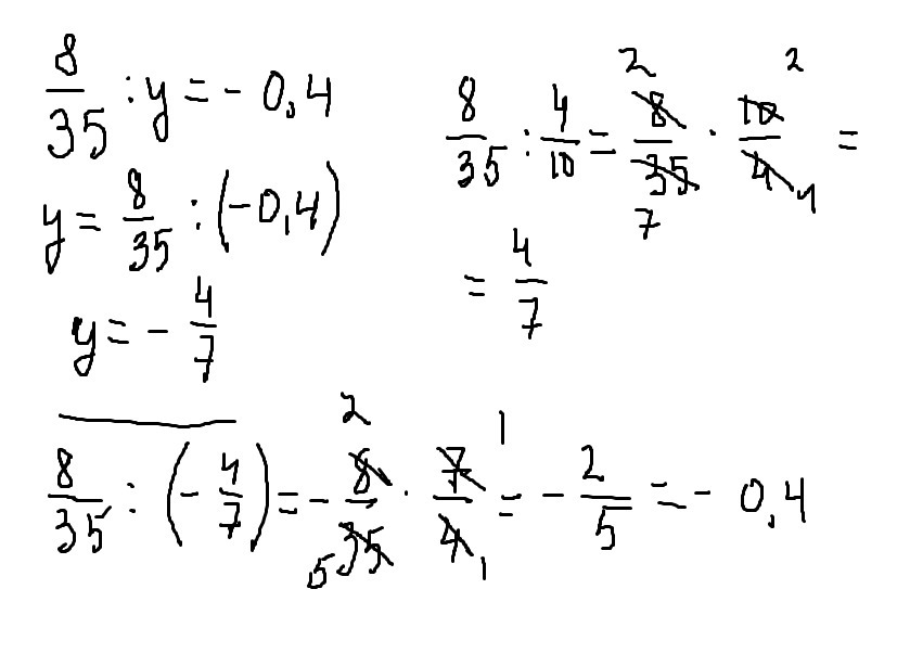
б)8/35:у= -0,4 0,4=4/10
у= 8/35:(-4/10)= -8/35*10/4
у= - 4/7
Проверка:
а)-2 5/14+2 4/7= -33/14+36/14=3/14
б)8/35:(-4/7)= -8/35*7/4= -2/5= -0,4
х=3/14-18/7=3/14-36/14
х= -33/14= -2 5/14
х= -2 5/14
б)8/35:у= -0,4 0,4=4/10
у= 8/35:(-4/10)= -8/35*10/4
у= - 4/7
Проверка:
а)-2 5/14+2 4/7= -33/14+36/14=3/14
б)8/35:(-4/7)= -8/35*7/4= -2/5= -0,4
Приложения:


Вас заинтересует
2 года назад
2 года назад
7 лет назад
7 лет назад
9 лет назад
9 лет назад
10 лет назад