• Предмет: Алгебра
  • Автор: trrrrrr
  • Вопрос задан 11 лет назад

Помогите решить систему уравнений!

Приложения:

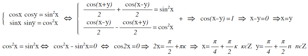
Ответы

Ответ дал: Аноним
0

решение смотри во вложении

Приложения:
Вас заинтересует