• Предмет: Алгебра
  • Автор: Alma9
  • Вопрос задан 9 лет назад

Пожалуйста помогите, срочно, даю 50 баллов. Желательно на фото или что то вроде

Приложения:

Ответы

Ответ дал: Regent1828
0
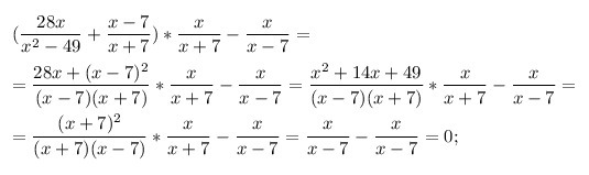
displaystyle ( frac{28x}{x^{2}-49}+ frac{x-7}{x+7})* frac{x}{x+7}- frac{x}{x-7}= \  \ = frac{28x+(x-7)^{2}}{(x-7)(x+7)}* frac{x}{x+7}- frac{x}{x-7}= frac{x^{2}+14x+49}{(x-7)(x+7)}* frac{x}{x+7}- frac{x}{x-7}=  \  \ = frac{(x+7)^{2}}{(x+7)(x-7)}* frac{x}{x+7}- frac{x}{x-7}= frac{x}{x-7}- frac{x}{x-7}=0;
Приложения:
Вас заинтересует