Ответы
Ответ дал:
0
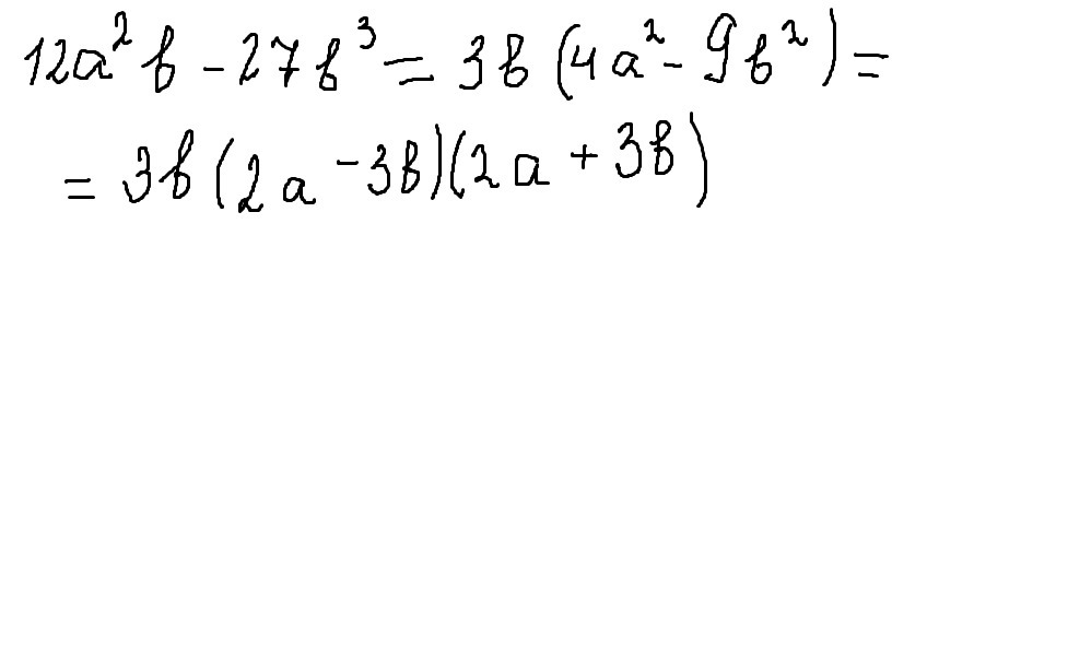
только это, что то не очень похоже на разложение на множители.
Приложения:


Ответ дал:
0
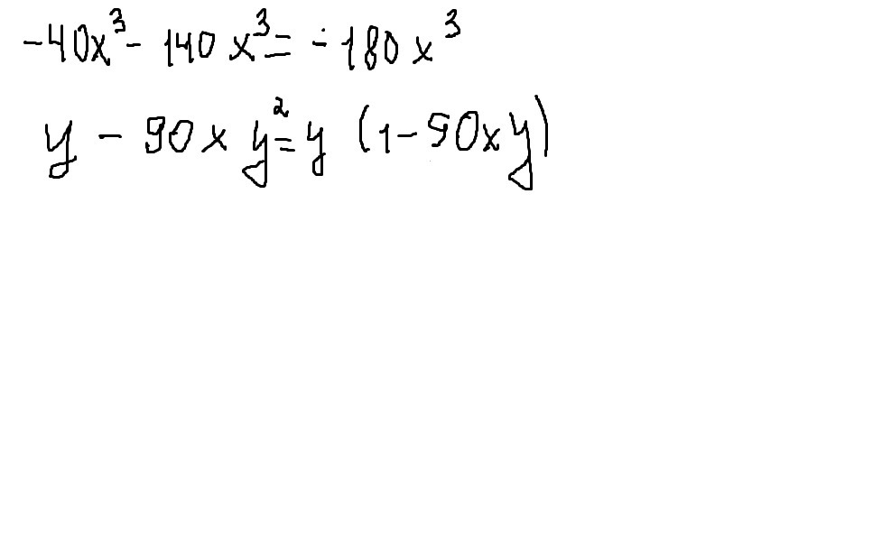
можете еще решить -40х в третьей степени - 140х в третьей степени,у -90ху во второй степени;
Вас заинтересует
2 года назад
2 года назад
7 лет назад
9 лет назад
9 лет назад
10 лет назад