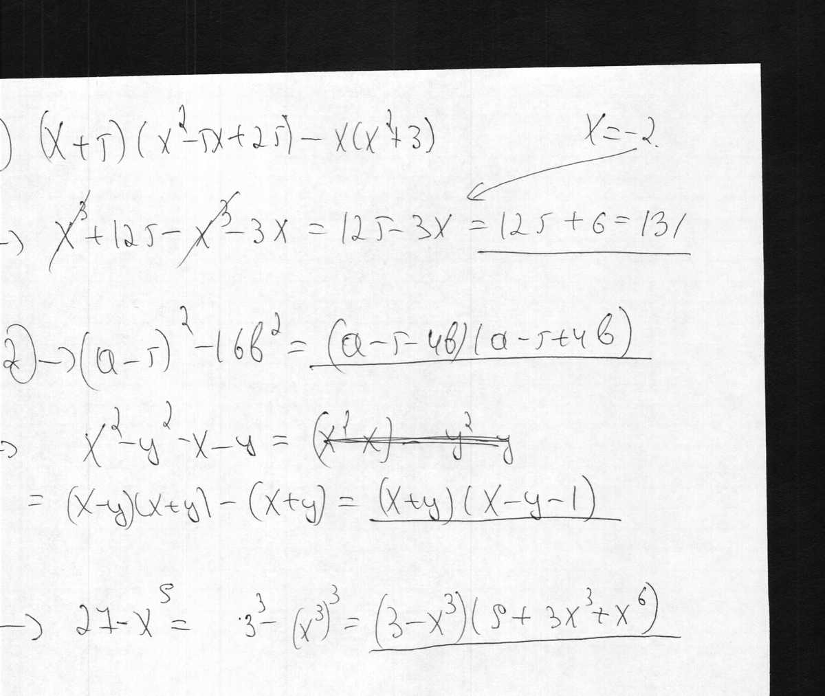
1)упростите выражение (х+5)(х²-5х+25)-х(х²+3) и найдите его значение при х= -2
2)представьте в виде произведения:
а)(а-5)²-16b²
б) х²-у²-х-у
в)27-х^9
Ответы
Ответ дал:
0
1010101010101010101010101010101010101010101101010101010101010101010101010
Приложения:

Вас заинтересует
8 лет назад
8 лет назад
10 лет назад
10 лет назад
10 лет назад
10 лет назад