• Предмет: Геометрия
  • Автор: nikitaaz
  • Вопрос задан 11 лет назад

Длины оснований трапеции равны 10 и 24 длины боковых сторон равны 13 и 15. Найти площадь трапеции.

Ответы

Ответ дал: Sky09
0

См. по рисунку

 

AH=x

H1D=(24-10-x)=(14-x)

 

Теперь рассмотрим п/у тр.ABH:

по т. Пифагора:

BH=169-x^2

 

Теперь рассмотрим п/у тр.H1CD:

по т. Пифагора:

CH1=225-(14-x)^2=225-196+28x-x^2=-x^2+28x+29

 

Так как высоты равны, то, следовательно нужно их приравнять:

 

169-x^2=-x^2+28x+29

169=28x+29

28x=140

x=5

Значит, AH=5

 

BH=корень(169-25)=12

Теперь найдем площадь:

 

S=h*(a+b)/2

S=12*(10+24)/2=12*17=204 (см2)

 

Ответ: 204 см2

Приложения:
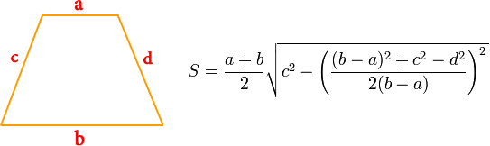
Ответ дал: Матов
0

здесь просто подставить значения вот эту формулу  и получим  ответ  204

 

Приложения:
Вас заинтересует