• Предмет: Алгебра
  • Автор: DiavoloDentro
  • Вопрос задан 11 лет назад

Решить уравение:

9(в степени х+1) -9(в степени х) =24

Если можно с обяснением

 

 

 

 

Ответы

Ответ дал: Аноним
0

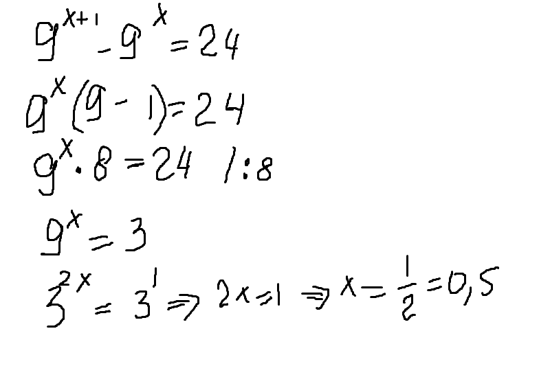
выносишь общий множитель

делов-то !

 

Приложения:
Ответ дал: Bessser
0

9(в степени х+1) можно представить как 9(в степени x) * 9

далее ты заменяешь 9(в степени x) и решаешь 9t-t-24=0

8t=24

t=3

9 в степени x = 3

это 3 в степени 2x = 3 в степени 1

2x=1

x=0.5

 

Приложения:
Вас заинтересует