Ответы
Ответ дал:
0
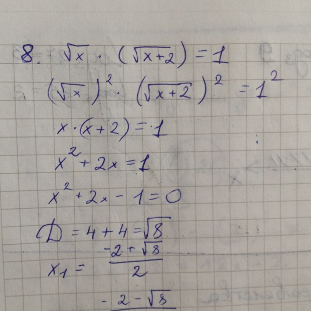
-2+√8 2(-1+√2)
х₁= ---------- = -------------- = -1+√2
2 2
х₂=-1-√2
√8=√(4*2)=√4*√2=2√2
Да, ещё надо учесть ОДЗ:х≥0.
Второй корень в ОДЗ не входит
Ответ дал:
0
короче сначала перемножаешь корень на скобку
х-2 корень из х=1
заменяешь корень из х на t получаешь
t^2-2t-1=0
d = 4+4=8
t1=2+2корень из 2/2 =1+корень из 2
t2=1-корень из 2
подставляем вместо корень из х ток t1 и t2 возводим в квадрат
х1=3+2корень из 2
х2=3-2корень из 2
х-2 корень из х=1
заменяешь корень из х на t получаешь
t^2-2t-1=0
d = 4+4=8
t1=2+2корень из 2/2 =1+корень из 2
t2=1-корень из 2
подставляем вместо корень из х ток t1 и t2 возводим в квадрат
х1=3+2корень из 2
х2=3-2корень из 2
Вас заинтересует
3 года назад
3 года назад
11 лет назад
11 лет назад
11 лет назад