• Предмет: Алгебра
  • Автор: mardijuno
  • Вопрос задан 11 лет назад

надо решить показательные неравенства! заранее благодарю 

Приложения:

Ответы

Ответ дал: Матов
0

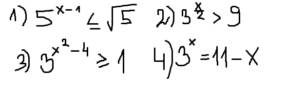
1)
5^(x-1) <=5^(1/2)
x-1 <=1/2
x<=3/2



------------------------>x
*********3/2


Ответ (-oo; 3/2]


2)
3^(x/2) >3^2
x/2 >2
x>4


----------------------------->x
4 *********

Ответ (4;+oo)


3) 3^(x^2-4) >=1
3^(x^2-4) >=3^0
x^2-4 >=0
x>= +/- 2

---------------------------->x
****** -2 2********


Ответ (-oo; -2] U [2;+oo)


4) 3^x =11-x
очевидно при х=2 верно!
Ответ x=2



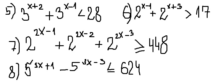
5)


3^(x+2) +3^(x-1) <28

3^x *9 + 3^x/3 <28

27*3^x +3^x <84

28 *3^x < 84

3^x < 3

x< 1




---------------------->x
******** 1
ответ (-oo;1)


6)
2^(x-1) +2^(x+3) >17

2^x/2 +2^x*8 >17

2^x * 16*2^x >34

17*2^x >34

2^x >2

x>1

--------------------->x
******** 1
Ответ (-oo;1)


7)

2^( 2x-1) +2^(2x-2) +2^(2x-3) >=448

2^2x /2 + 2^2x /4 +2^2x /8 >=3584

4*2^2x +2^2x*2 +2^2x >= 3584

7*2^2x >= 3584


2^2x >= 512

2^2x >= 2^9

2x>=9

x>=4.5


Ответ [4.5 ; +oo)




8)

5^(3x+1) -5^(3x-3 ) <=624

5^3x *5 -5^3x /125 <=624


625*5^3x -5^3x <= 78000


624 *5^3x <= 78000

5^3x <= 125

3x <= 3

x<=1

Ответ (-oo;1]

Вас заинтересует