• Предмет: Алгебра
  • Автор: Валерия99999
  • Вопрос задан 11 лет назад

Помогите!!!!!

 

 

 

 

Вычислите:

Приложения:

Ответы

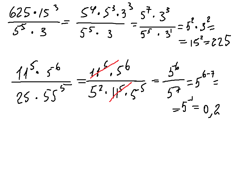
Ответ дал: Аноним
0

см. вложение

=========================================

 

Приложения:
Вас заинтересует