• Предмет: Математика
  • Автор: ivanovaanastasiya533
  • Вопрос задан 9 лет назад

4.Упростите выражение:2(4x-3)-2(1-2x)-12x-4
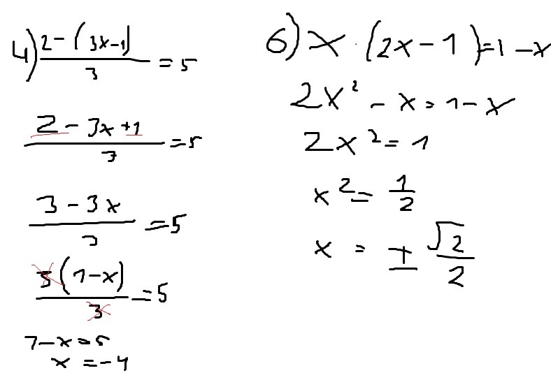
5.Решите уравнение: 2-(3x-1)
                                   -------------- =5
                                            3
6.Решите уравнение:x(x2-1)=1-x
Решите пожалуйста просто на теме этой не было пропустила один урок и не понимаю...........

Ответы

Ответ дал: кафкин
0
двадцать слов лимит поганый
Приложения:
Ответ дал: ivanovaanastasiya533
0
к каким это номерам?
Вас заинтересует