• Предмет: Математика
  • Автор: SvetaDt
  • Вопрос задан 2 года назад

Решите, плиз!!!!!!!!!!!!!!!!!!!!!!!!!

Приложения:

Ответы

Ответ дал: nkpk
0
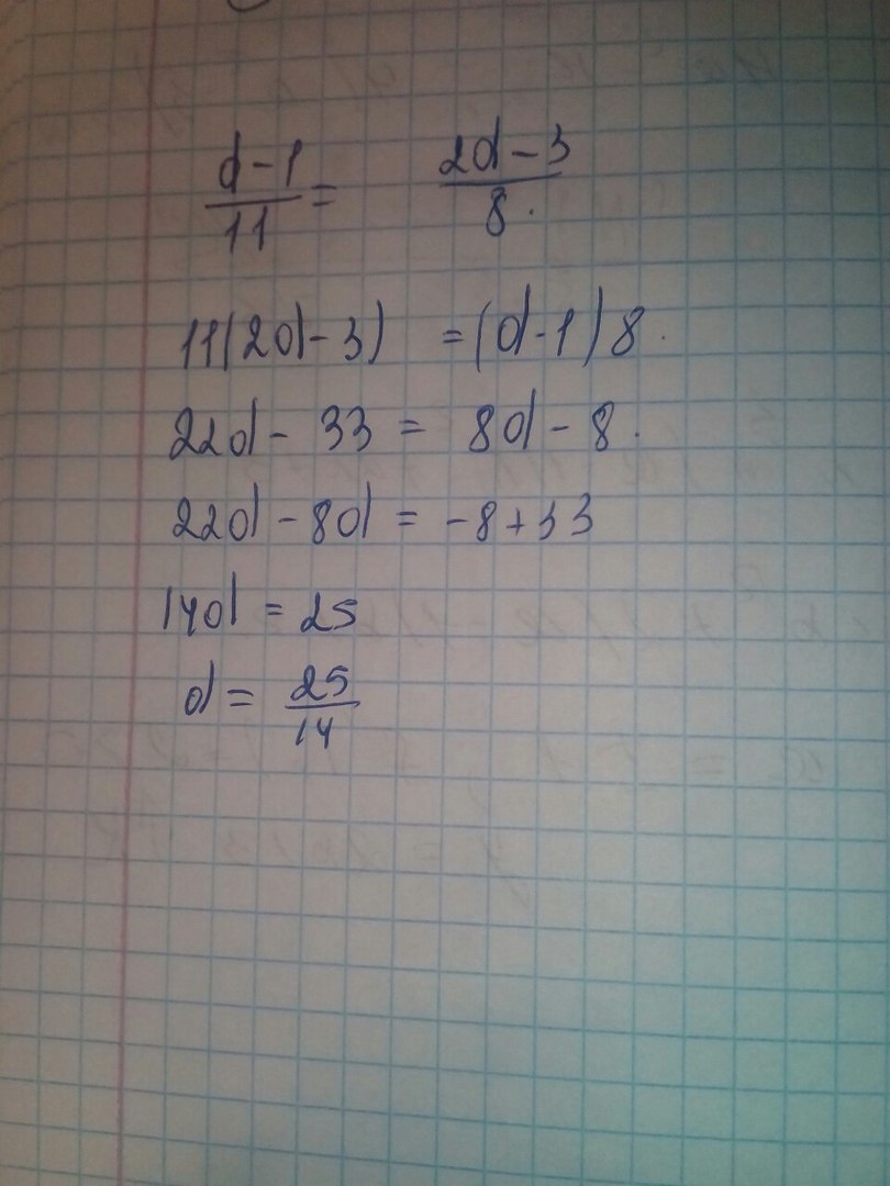
вот если условие : d-1/11=2d-3/8

Приложения:

SvetaDt: У меня получилось почему-то -132
nkpk: ну вот вроде как я решил правильно
Вас заинтересует