• Предмет: Алгебра
  • Автор: АкваТАся23
  • Вопрос задан 11 лет назад

ПОМОГИТЕ 

решите урвнение

 

 

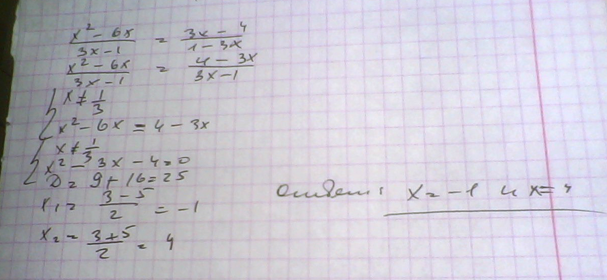
Хкв-6х=3х-4

3х-1       1-3х

 

 

Ответы

Ответ дал: mousesk
0

frac{x^2-6x}{3x-1}=frac{3x-4}{1-3x} \ frac{x^2-6x}{3x-1}=frac{4-3x}{3x-1} \ x^2-6x=4-3x \ x^2-3x-4=0 \ (x-4)(x+1)=0 \ x-4=0;x+1=0 \x=4; x=-1

Ответ дал: 7Tiger
0

,,,,,,,,,,,,,,,,,,,,,,,,,,,,,,,,,,,,,,,,,,,,,,,,,,,,,,,,,,,,,,,,,,,,,,,,,,,,,,,,,,,,,,,,

Приложения:
Вас заинтересует