• Предмет: Математика
  • Автор: Прошу11111
  • Вопрос задан 2 года назад

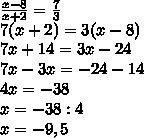
помогите! дроби : x-8/х+2=7/3 и 4/х-1.2=15/х-10 6ой класс

Ответы

Ответ дал: Ǿķęǻn
1
.............................................
Приложения:

Прошу11111: спасибо
Ǿķęǻn: 2) 4(х-10)=15(х-1,2)
Ǿķęǻn: 4х-40=15х-18
Ǿķęǻn: 4х-15х=-18+40, -11х=22, х=22:(-11), х=-2
Вас заинтересует