Ответы
Ответ дал:
0
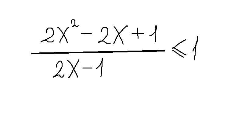
1 перенесём в левую часть и приведём к общему знаменателю.
получим: (2х² -2х +1 -2х +1)/(2х -1) ≤ 0
(2х² - 4х +2)/(2х -1) ≤ 0
2(х² -2х +1)/(2х-1) ≤ 0
2(х-1)²/(2х -1)≤ 0
числитель = 2(х -1)² - это число явно неотрицательное, значит,
2х -1 < 0 ( =0 не может, т.к. делить на нуль нельзя)
2х < 1
x< 1/2
Ответ: х∈(-∞;1/2)∪{1}
получим: (2х² -2х +1 -2х +1)/(2х -1) ≤ 0
(2х² - 4х +2)/(2х -1) ≤ 0
2(х² -2х +1)/(2х-1) ≤ 0
2(х-1)²/(2х -1)≤ 0
числитель = 2(х -1)² - это число явно неотрицательное, значит,
2х -1 < 0 ( =0 не может, т.к. делить на нуль нельзя)
2х < 1
x< 1/2
Ответ: х∈(-∞;1/2)∪{1}
Вас заинтересует
2 года назад
2 года назад
2 года назад
3 года назад
3 года назад
9 лет назад
9 лет назад