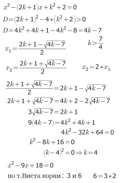
Найдите такое значение k, при котором один из корней в два раза больше другого x^2-(2k+1)x+k^2+2=0
Ответы
Ответ дал:
0
записать выражения для корней через дискриминант и
решить уравнение, составленное по условию...
решить уравнение, составленное по условию...
Приложения:
Вас заинтересует
2 года назад
7 лет назад
7 лет назад
10 лет назад
10 лет назад
10 лет назад