Ответы
Ответ дал:
0
№3 y=0,2x -10 точки пересечения с осями координат:
при x=0, y=-10; при y=0, 0,2x-10=0⇒ x=50. Т.о., точки пересечения с осями координат: (50;0) и (0;-10)
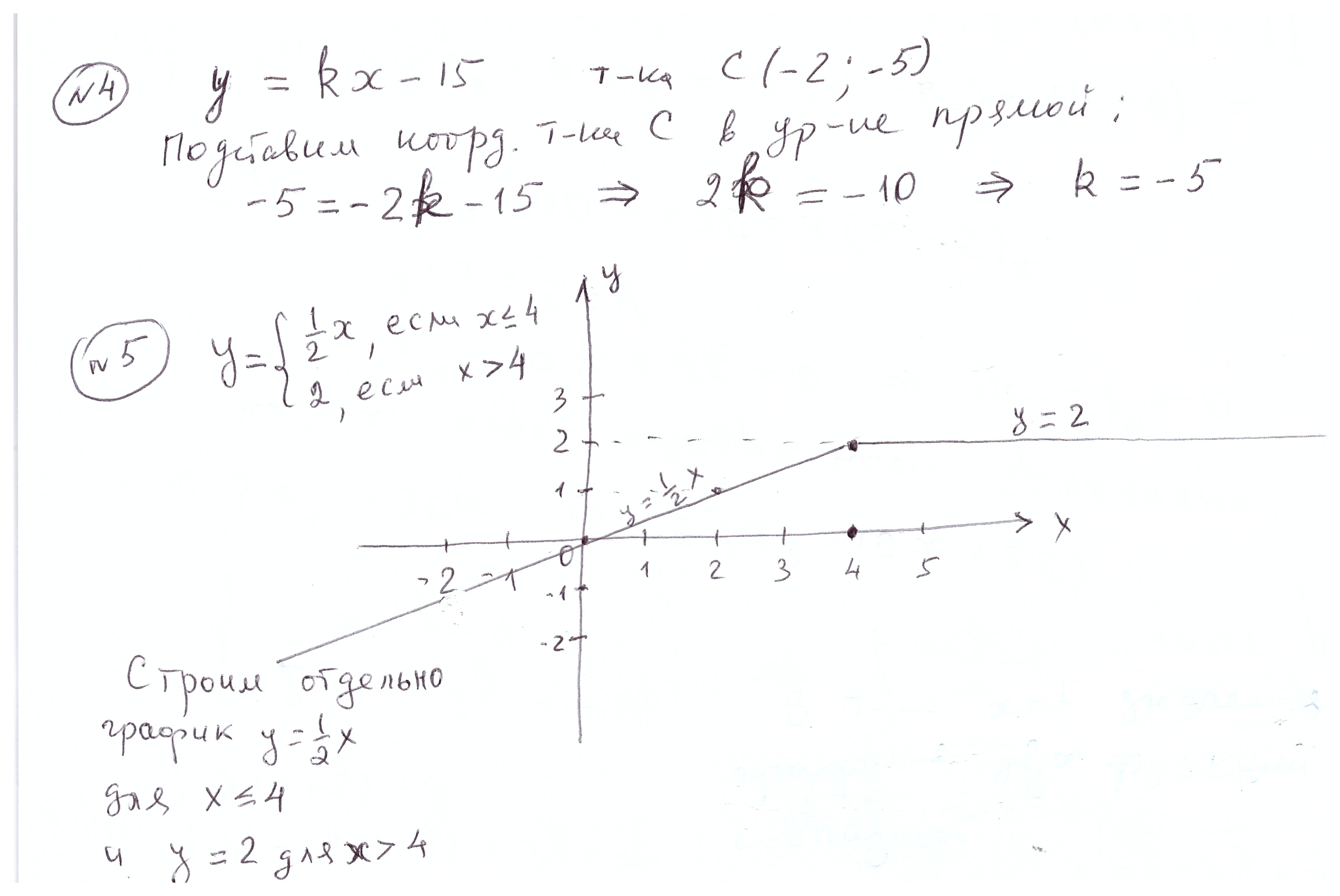
Номера 4 и 5 смотри во вложенном файле.
Замечание: очень плохая копия заданий- практически ничего не видно.
при x=0, y=-10; при y=0, 0,2x-10=0⇒ x=50. Т.о., точки пересечения с осями координат: (50;0) и (0;-10)
Номера 4 и 5 смотри во вложенном файле.
Замечание: очень плохая копия заданий- практически ничего не видно.
Приложения:

Вас заинтересует
2 года назад
2 года назад
7 лет назад
9 лет назад
10 лет назад