• Предмет: Алгебра
  • Автор: nastena353
  • Вопрос задан 9 лет назад

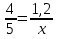
Найдите неизвестный член пропорции

Приложения:

Ответы

Ответ дал: karslievn
0
Неизвестный член пропорции равен 1,8
Вас заинтересует