• Предмет: Химия
  • Автор: ulugbek096
  • Вопрос задан 11 лет назад

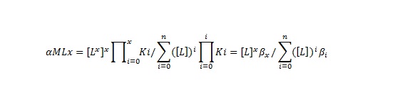
 ЧТо за формула это и для чего используется .Дали формулу и сказали изучить. это по качественному анализу и возможно по теме реакции комплексообразования, окислительно восстановительный потенциал и но может и по другой теме. Для чего используется эта формула, что тут M, L , что ставить вместо  x в этой формуле.опишите как можно подробнее эту формулу если вы знаете. Скажите хотя бы название формулы чтобы в интернете найти. Прикрепил формулу на картинке ив ворде тоже написал но в картинке

Приложения:

Ответы

Ответ дал: ZZnaniya
0
ЭТО ФОРМУЛА КВАНТОВОЙ МЕХАНИКИ, ФОРМУЛА ШРЕДИНГЕРА-ГЕЛЬМГОЛЬЦА (ЛИНЕЙНЫЕ ОПЕРАТОРЫ) 
Вас заинтересует