Ответы
Ответ дал:
0
-(2x-1) =1-2x Воспользуемся
(1-3x)/-(2x-1) + 5/(2x-1)^2 -3 =0
-(1-3x)(2x-1) + 5 -3(2x-1)^2=0
6x^2-5x+6-12x^2+12x-3=0
-6x^2+7x+3=0
D=49+4*6*3=11^2
x=-1/3 x2=3/2
(1-3x)/-(2x-1) + 5/(2x-1)^2 -3 =0
-(1-3x)(2x-1) + 5 -3(2x-1)^2=0
6x^2-5x+6-12x^2+12x-3=0
-6x^2+7x+3=0
D=49+4*6*3=11^2
x=-1/3 x2=3/2
Ответ дал:
0
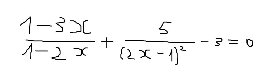
(1-3x)/(1-2x)+5/(2x-1)^2-3=0
Легко заметить, что -(2x-1)=1-2x
приводим к общему знаменателю
-(1-3x)(2x-1)+5-3(2x-1)^2=0
раскрываем скобки
-6x^2+7x+3=0
откуда x1=3/2; x2=-1/3
Легко заметить, что -(2x-1)=1-2x
приводим к общему знаменателю
-(1-3x)(2x-1)+5-3(2x-1)^2=0
раскрываем скобки
-6x^2+7x+3=0
откуда x1=3/2; x2=-1/3
Вас заинтересует
11 лет назад
11 лет назад
11 лет назад