Ответы
Ответ дал:
0
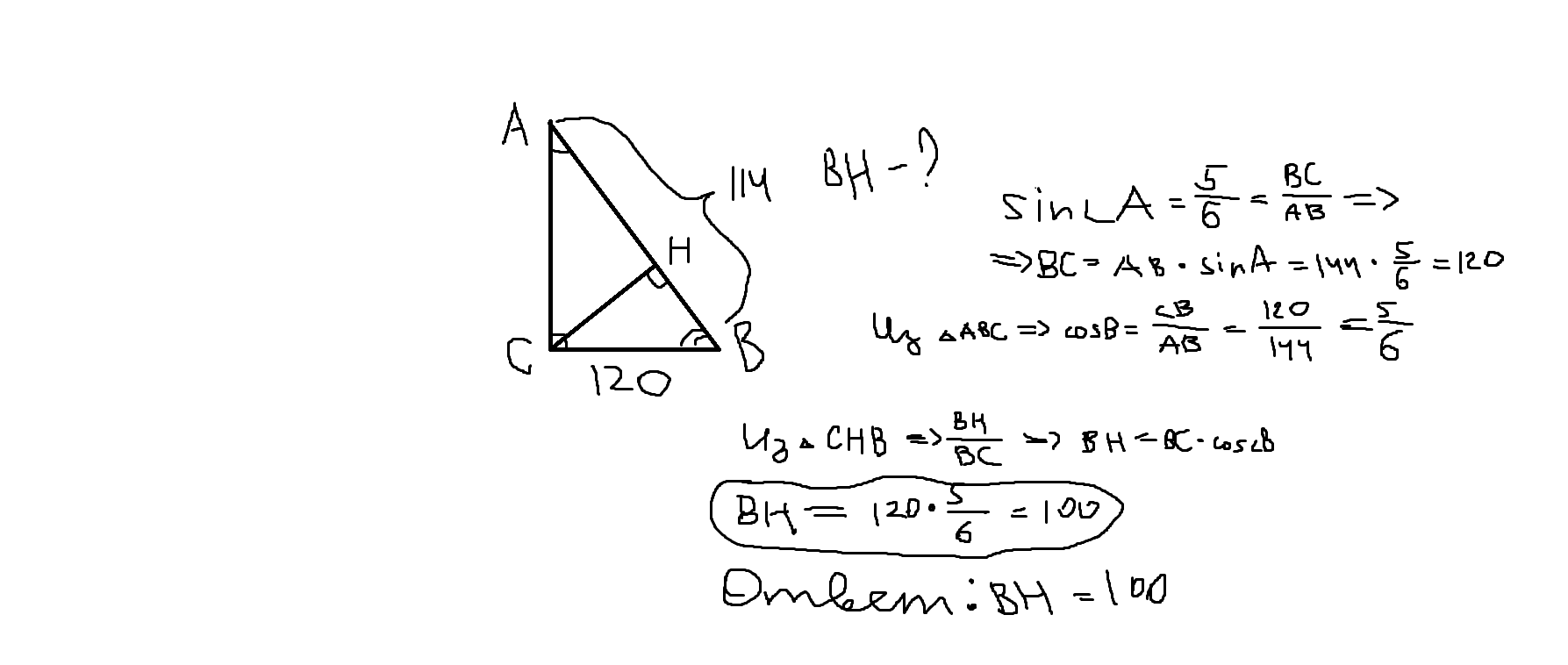
По определению sinA=CosB=5/6
Из треуг.АСВ
CosB=CB/AB
5/6=CB/144,
CB=120
Из треуг CHB
CosB=HB/CB,
5/6=HB/120
HB=100
Из треуг.АСВ
CosB=CB/AB
5/6=CB/144,
CB=120
Из треуг CHB
CosB=HB/CB,
5/6=HB/120
HB=100
Ответ дал:
0
Вот на картинке рисунок и решение. Надеюсь, ты что-нибудь поймёшь)))
Приложения:

Вас заинтересует
2 года назад
2 года назад
8 лет назад
8 лет назад
10 лет назад
10 лет назад
10 лет назад
10 лет назад