• Предмет: Алгебра
  • Автор: ladarykunova
  • Вопрос задан 9 лет назад

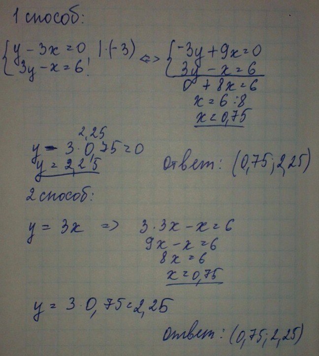
Помогите решить систему 3 способами: способ сложения, подстановки и графически
Система у-3х=0
3у-х=6

Ответы

Ответ дал: dghhbsrn
0
смотри на первой фотке 1 и 2 способ, на 3 графический
Приложения:
Вас заинтересует