• Предмет: Алгебра
  • Автор: klimenkol21
  • Вопрос задан 9 лет назад

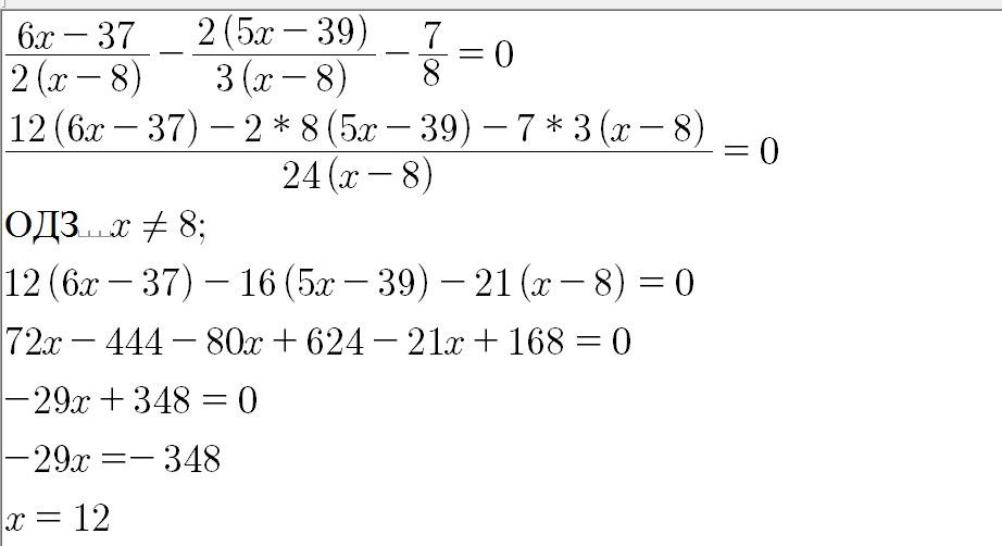
Решите уравнение на фото, на листочке пожалуйста.

Приложения:

Ответы

Ответ дал: ShirokovP
0
см фото
==========================
Приложения:
Ответ дал: klimenkol21
0
Пожалуйста , решите моё задание, оно есть сейчас в вопросах, вот оно : Решить пропорцию на фото, на листочке пожалуйста. Пример во вложении. Давно ставлю, никто не решает.
Вас заинтересует