• Предмет: Алгебра
  • Автор: Llizavero4kaber
  • Вопрос задан 9 лет назад

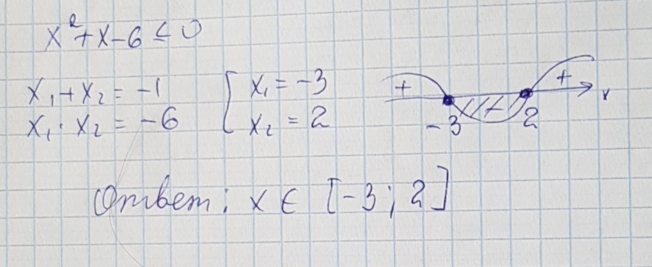
Решите неравенство х²+х-6≤0

Ответы

Ответ дал: подкожного
0
решение задания смотри на фотографии
Приложения:
Вас заинтересует