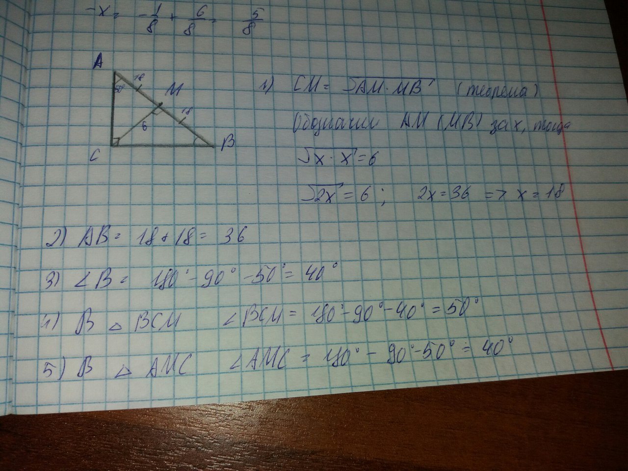
Дано: треугольник abс, угол а=50 градусов, угол с=90 градусов, CM=6см, BM=MA Найти: ab=?, угол BCM=?, угол AMC=?
Ответы
Ответ дал:
0
Что известно про МС? Если МС перпендикулярно АВ, то тогда так:
Приложения:

Ответ дал:
0
Про МС ничего не известно
Вас заинтересует
2 года назад
2 года назад
7 лет назад
7 лет назад
9 лет назад
9 лет назад
10 лет назад
10 лет назад