Ответы
Ответ дал:
0
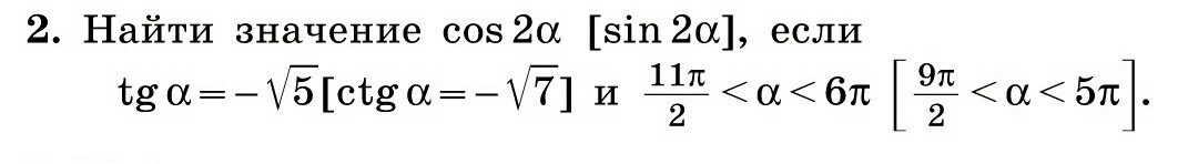
1) tg α = -√5 и 5,5π < α < 6π (4-я четверть)
1 + tg²α = 1/cos²α → cos²α = 1/(1 + tg²α) = 1/(1 + 5) = 1/6
sin²α = 1 - cos²α = 1 - 1/6 = 5/6
cos2α = cos²α - sin²α = 1/6 - 5/6 = -2/3
2) ctg α = -√7 и 4,5π < α < 5π (2-я четверть)
1 + ctg²α = 1/sin²α → sin²α = 1/(1 + ctg²α) = 1/(1 + 7) = 1/8
sin α = + 1/√8
cos²α = 1 - sin²α = 1 - 1/8 = 7/8
cos α = - √(7/8)
sin 2α = 2sinα · cosα = 2 · 1/√8 · (- √(7/8)) = -(√7)/4
1 + tg²α = 1/cos²α → cos²α = 1/(1 + tg²α) = 1/(1 + 5) = 1/6
sin²α = 1 - cos²α = 1 - 1/6 = 5/6
cos2α = cos²α - sin²α = 1/6 - 5/6 = -2/3
2) ctg α = -√7 и 4,5π < α < 5π (2-я четверть)
1 + ctg²α = 1/sin²α → sin²α = 1/(1 + ctg²α) = 1/(1 + 7) = 1/8
sin α = + 1/√8
cos²α = 1 - sin²α = 1 - 1/8 = 7/8
cos α = - √(7/8)
sin 2α = 2sinα · cosα = 2 · 1/√8 · (- √(7/8)) = -(√7)/4
Вас заинтересует
3 года назад
7 лет назад
7 лет назад
10 лет назад
10 лет назад
10 лет назад