• Предмет: Алгебра
  • Автор: Pussyellien
  • Вопрос задан 9 лет назад

ПОМОГИТЕ РЕШИТЬ,ПОЖАЛУЙСТА.
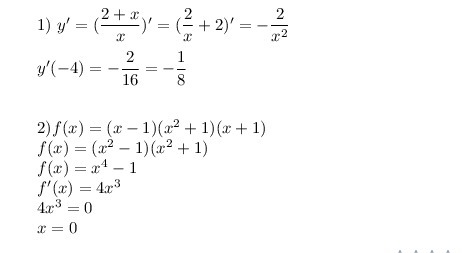
1) Найдите значение производной функции y=2+x/x в точке x0=-4
2) Решите уравнение f `(x)=0, если f(x)=(x-1)(x^2+1)(x+1)

Ответы

Ответ дал: Dимасuk
0
1)   y' =  (dfrac{2 + x}{x} )' =  (dfrac{2}{x} + 2)' = - dfrac{2}{x^2} \ \
y'(-4) = - dfrac{2}{16} = -  dfrac{1}{8} \ \ \ 
2) f(x) = (x - 1)(x^2 + 1)(x + 1) \ 
f(x) = (x^2 - 1)(x^2 + 1) \ 
f(x) = x^4 - 1 \ 
f'(x) = 4x^3 \ 
4x^3 = 0 \
x = 0
Приложения:
Ответ дал: Pussyellien
0
https://znanija.com/task/24423363 сможешь так же решить это ,пожалуйста?)
Вас заинтересует