• Предмет: Алгебра
  • Автор: Федя03lpl
  • Вопрос задан 9 лет назад

Разложите на множители,пожалуйста

Приложения:

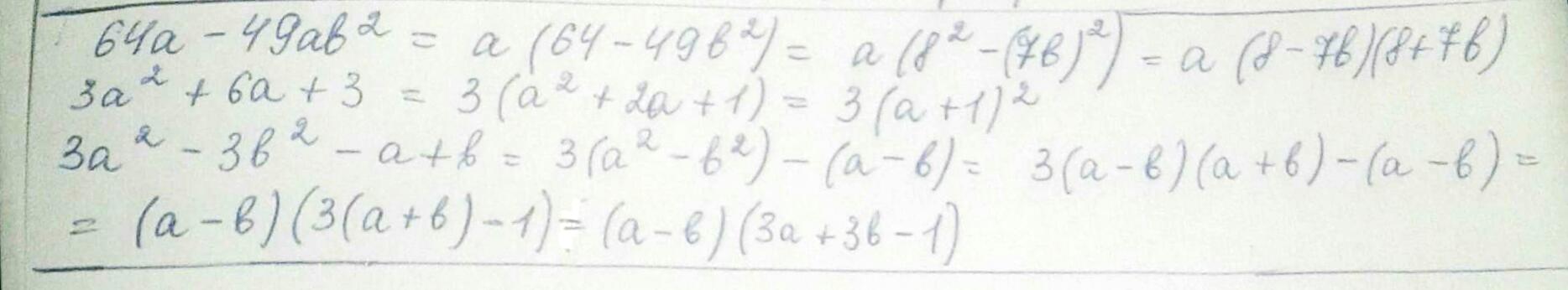
Ответы

Ответ дал: koingrel
0
Решение во вложении :)
Приложения:
Ответ дал: Федя03lpl
0
Спасибо большое
Вас заинтересует