• Предмет: Математика
  • Автор: User1996
  • Вопрос задан 9 лет назад

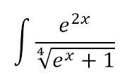
Помогите решить интеграл

Приложения:

Ответы

Ответ дал: ProGroomer
0
int {e^{2x}over sqrt[4]{e^x+1}}dx=  { {{t=e^x+1} atop {dx={dtover e^x}}} } right.  =int {t-1over sqrt[4]{t}}dt={ {{p=sqrt[4]{t}} atop {dt={4t^{3over4}dp}}} }=\=int4p^2(p^4-1)dp=int4p^6dp-int4p^2dp={4p^7over7}-{4p^3over3}+C=\={4sqrt[4]{t^3}(3t-7)over21}+C={4sqrt[4]{(e^x+1)^3}(3e^x-4)over21}+C
Вас заинтересует