• Предмет: Химия
  • Автор: sslasteenka
  • Вопрос задан 9 лет назад

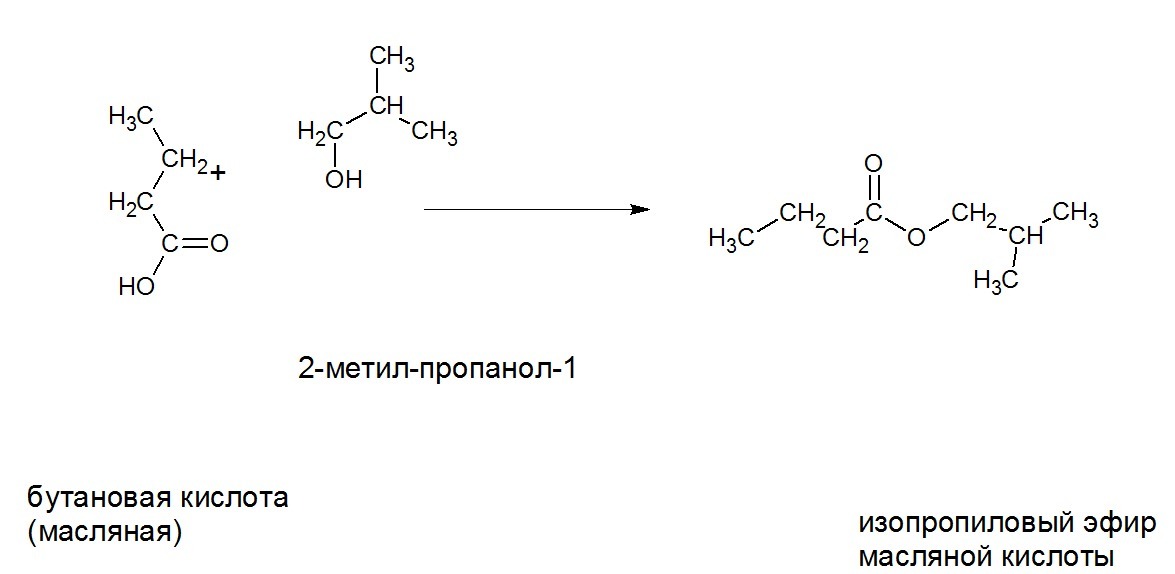
Реакция бутановой кислоты с 2-метил-пропанолом-1

Ответы

Ответ дал: Alfiusha13makoneko
0
реакция этерификации. к OH кислоты - OH спирта. H₂O уходит. O остается. к нему "прикрепляешь" "кусок" спирта 
Приложения:
Вас заинтересует