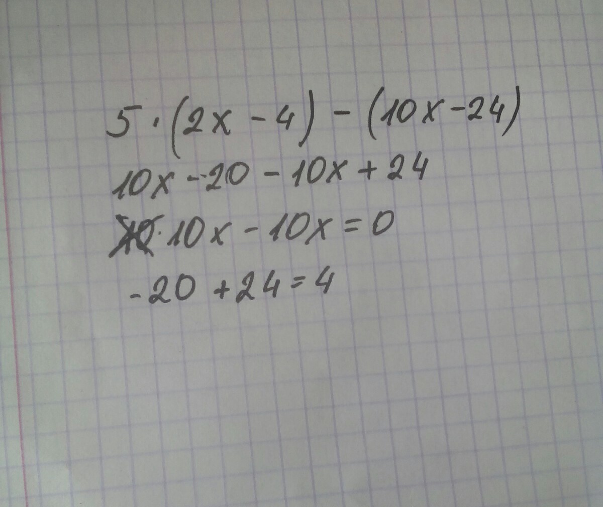
раскрыть скобки,привести подобные : 5 (2 икс - 4) - (10 икс - 24)
Решите пожалуйста,ответ должен получиться - 4
Ответы
Ответ дал:
0
5(2x-4)-(10x-24)= 10x-20-10x+24=4
Ответ дал:
0
наверное вот так правильно
Приложения:

Вас заинтересует
2 года назад
7 лет назад
9 лет назад
9 лет назад
10 лет назад