Ответы
Ответ дал:
0
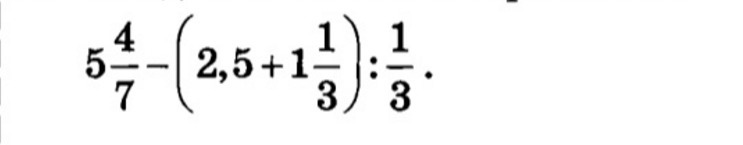
5 4/7-(2,5+1 1/3):1/3
Представить смешанную дробь в виде неправильной дроби
Преобразовать десятичную дробь в обыкновенную
Чтобы разделить на дробь,необходимо сделать умножение на выражение,обратной этой дроби
Представить смешанную дробь в виде неправильной дроби
Преобразовать десятичную дробь в обыкновенную
Чтобы разделить на дробь,необходимо сделать умножение на выражение,обратной этой дроби
Приложения:





Вас заинтересует
2 года назад
7 лет назад
7 лет назад
9 лет назад
10 лет назад