• Предмет: Математика
  • Автор: Caesar31
  • Вопрос задан 9 лет назад

Вычислите определённые интегралы:
 intlimits^ pi _0 {cos frac{x}{2} } , dx 

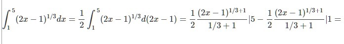
intlimits^5_1 {sqrt{2x-1}^3 } , dx

Ответы

Ответ дал: canek1702
0

См приложение в картинках ниже.
Приложения:
Вас заинтересует