Ответы
Ответ дал:
0
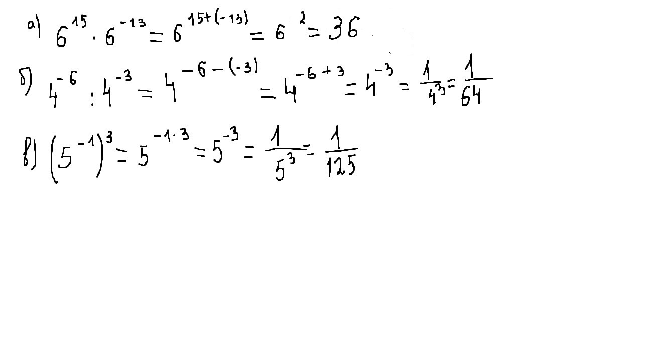
а) 6^15*6^-13= 6^15-13=6^2=36
б) 4^-6 : 4^-3=4^-6-(-3) = 4^-6+3=4^-3=1/4^3=1/64
в) (5^-1)^3=5^-3=1/5^3=1/125
б) 4^-6 : 4^-3=4^-6-(-3) = 4^-6+3=4^-3=1/4^3=1/64
в) (5^-1)^3=5^-3=1/5^3=1/125
Ответ дал:
0
Спасибо огромноеее
Ответ дал:
0
при умножении степеней с одинаковым основанием показатели складываются.
при делении степеней с одинаковым основанием показатели вычитаются
при возведении степени в степень показатели умножаются
при делении степеней с одинаковым основанием показатели вычитаются
при возведении степени в степень показатели умножаются
Приложения:

Вас заинтересует
2 года назад
7 лет назад
7 лет назад
9 лет назад
9 лет назад
10 лет назад