• Предмет: Алгебра
  • Автор: svetyla21
  • Вопрос задан 9 лет назад

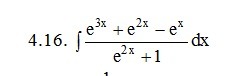
Помогите найти интегралы:

Приложения:

Ответы

Ответ дал: Segrif
0
 int { frac{e^{3x} + e^{2x} - e^{x}}{ e^{2x} + 1}} , dx = {  e^{x} = t, e^{x}dx = dt, dx = dt/t } =  int { frac{t^{2} + t - 1}{1 + t^{2}} } , dt = int { frac{t^{2} + 1}{1 + t^{2}} } ,dt +  int { frac{t}{1 + t^{2}} } , dt - 2 int { frac{ 1 }{1 + t^{2}} } , dt = t + ln|1 + t^{2}|/2 - 2arctg(t) + C =  e^{x} +  ln|1 + e^{2x}|/2 - 2arctg( e^{x} ) + C
Вас заинтересует