• Предмет: Алгебра
  • Автор: mailkolmykov
  • Вопрос задан 11 лет назад

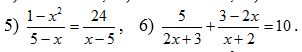
Ребята, пожалуйста помогите сделать уравнение 5. Спасибо заранее)

Приложения:

Ответы

Ответ дал: eVa74
0
 frac{1-x^2  }{5-x}+ frac{24}{5-x}=0''''''''     x neq 5'''25-x^2=0 '''''''''x=-5
Вас заинтересует