• Предмет: Математика
  • Автор: leonid281
  • Вопрос задан 9 лет назад

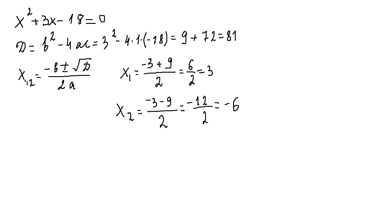
Решить уравнение,если корней несколько,записать их через точку с запятой в порядке возрастания.Спасибо заранее❤

Приложения:

Ответы

Ответ дал: СонФил
0
ответ 3; -6....... смотри на фотографии
Приложения:
Ответ дал: leonid281
0
Спасибо большое❤
Ответ дал: parus77
0
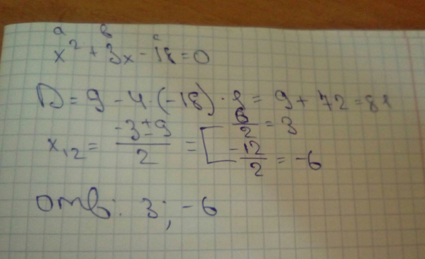
-6;3      решение смотри внизу
Приложения:
Ответ дал: leonid281
0
Спасибо тебе большое❤
Ответ дал: СонФил
0
нез.
Вас заинтересует