• Предмет: Алгебра
  • Автор: daria999diveeva
  • Вопрос задан 9 лет назад

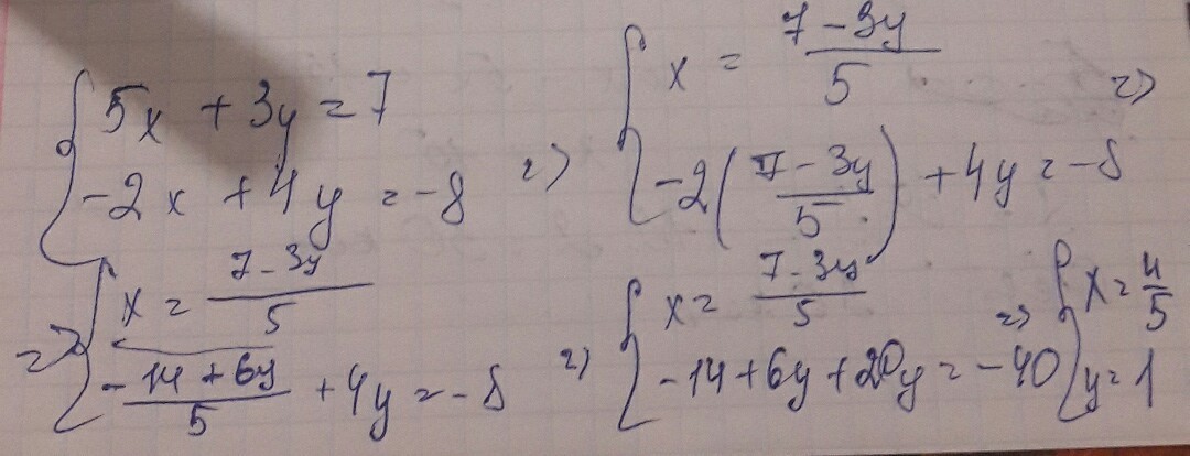
развяжите систему уравнений: 5x+3y=7
-2x+4y=-8
Помогите пож.

Ответы

Ответ дал: GordonFreemanHL2
0
------$7$7$+$(3838287483839
Приложения:
Ответ дал: daria999diveeva
0
Спасибо большое!!!!!!
Ответ дал: GordonFreemanHL2
0
Пожалуйста)
Ответ дал: джерри3
0
решение , замените последнюю скобку, ответ: х= 2, у= -1
Приложения:
Ответ дал: daria999diveeva
0
Спасибо!
Ответ дал: джерри3
0
Дарья, перерешала. глянь
Ответ дал: джерри3
0
перепутала
Ответ дал: daria999diveeva
0
спасибо
Вас заинтересует