Ответы
Ответ дал:
0
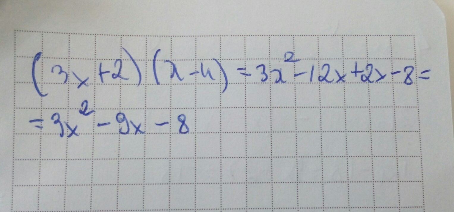
(3x+2)(x-4)=0
3x^2-12x+2x-8=0
3x^2-10x-8=0
D=100-4*(-8)*3=100+96=196
x1= (10+14)/6 = 4
x2= (10-14)/6= -4/6= -2/3
Ответ: 4 ; -2/3
3x^2-12x+2x-8=0
3x^2-10x-8=0
D=100-4*(-8)*3=100+96=196
x1= (10+14)/6 = 4
x2= (10-14)/6= -4/6= -2/3
Ответ: 4 ; -2/3
vorobeva9l:
Тут не написано, что пример равен 0
у вас вообще -12+2 = 9 , так что не учите
спасибо я на экзамене была выручили
спасибо я на экзамене была выручили
Ответ дал:
1
Ответ на снимке. Желаю удачи.
Приложения:
Вас заинтересует
2 года назад
2 года назад
2 года назад
3 года назад
3 года назад
9 лет назад