• Предмет: Алгебра
  • Автор: hakker200030
  • Вопрос задан 2 года назад

Помогите пожалуйста очень нужна помощь
помогите решить 

Приложения:

Ответы

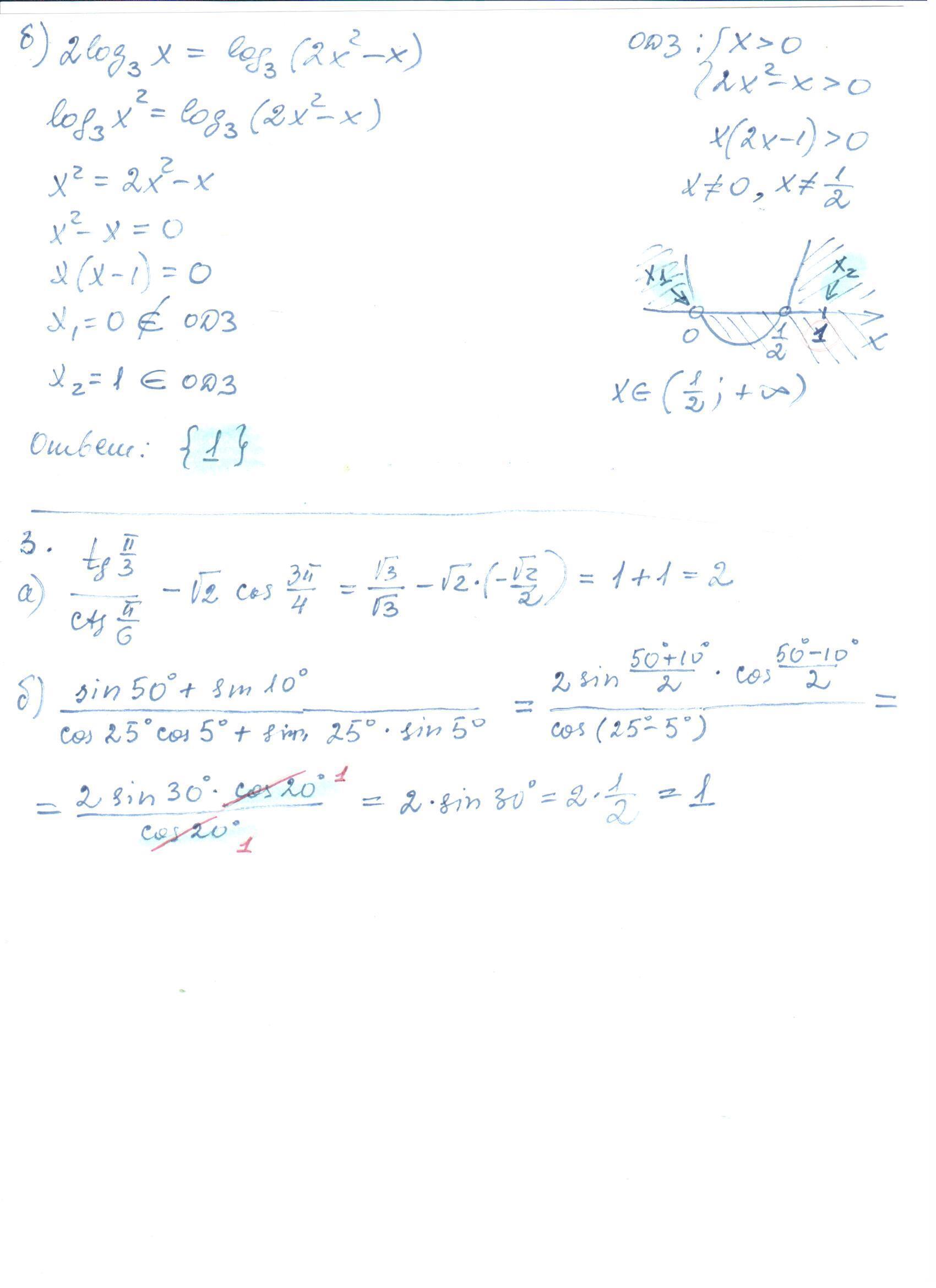
Ответ дал: badakur
0
Привет! Когда смогла - помогла. Держи прищепки. Быстро писала - на всякий случай - проверь! Удачи!
Приложения:
Вас заинтересует