• Предмет: Математика
  • Автор: Аноним
  • Вопрос задан 9 лет назад

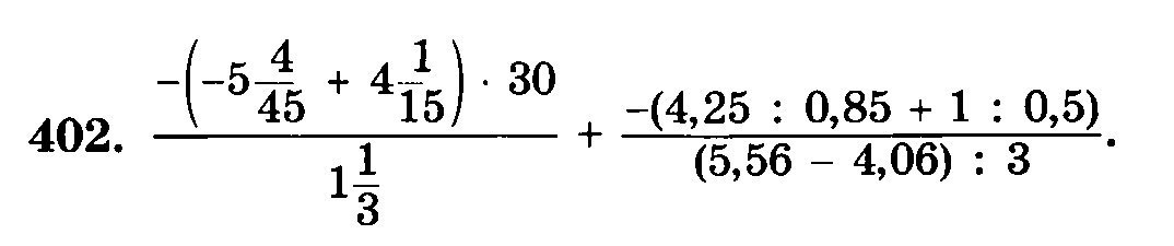
Решите пожалуйста!
Мозги отключились))0)

Приложения:

Ответы

Ответ дал: ПовторениеГ
0
Скачай приложение Fotomath зайди и направь камеру на уравнение.Выйдет решение и ответ.Я всегда так делаю
Вас заинтересует