• Предмет: Алгебра
  • Автор: Грелль11
  • Вопрос задан 9 лет назад

Решите уравнения:
{2х-у=3
{6х-3у=9

{2/3х+1/3у=-1
{2/5х+1/5у=1

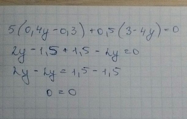
5(0,4у-0,3)+0,5(3-4у)=0

Ответы

Ответ дал: милашка343
0
))))))))))))))))))))))))))
Приложения:
Вас заинтересует