ребята можете срочно помочь?я никак не могу понять решение системы уравнений. кто шарит можете решить вот эти две задачи и объяснить как решать.если вы за меня решили то толку ,просьба ОБЪЯСНИТЬ как решать.
Приложения:

Ответы
Ответ дал:
0
Существуют два основных метода решения систем уравнений. Разберем их.
1) Метод подстановки.
Зачастую самый удобный способ решения. Суть довольна проста: выразить одну из неизвестных из одного уравнения системы и подставить во второе. Продемонстрирую данный метод на первой системе.
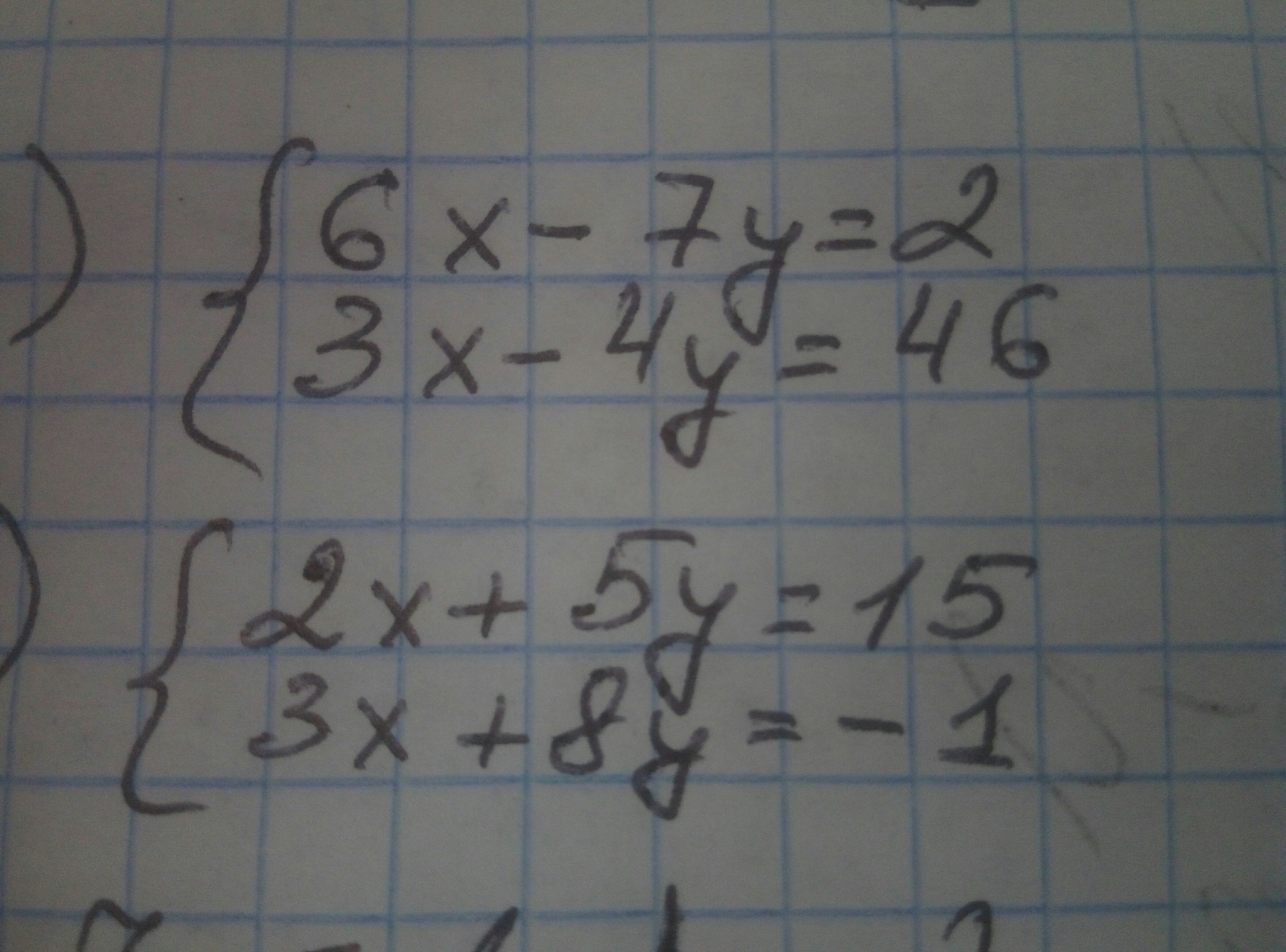
6x-7y=2
3x-4y=46
В данном случае будет удобно выразить 3x из второго уравнения системы. Сделаем это.
3x=46+4y
Теперь подставляем наш 3x в первое уравнение системы вместо 6x, предварительно умножив его на два, т.к. 3x*2=6x
2(46+4y)-7y=2
Получилось простейшее линейное уравнение с одним неизвестным. Находим y.
92+8y-7y=2
y=2-92=-90
Теперь, когда нам известна одна из переменных, найти вторую не составит труда. Подставляем ее в любое уравнение системы. Я выберу вот это 3x=46+4y.
3x=46+4*(-90)
3x=46-360
3x=-314
x=-314/3
Ответ: (-314/3;-90)
2) Метод сложения (вычитания).
Суть этого метода в том, чтобы сложить два уравнения системы, либо вычесть одно из другого, чтобы избавиться от одной из переменных и получить линейное уравнение с одной переменной. Возьмем вторую систему.
2x+5y=15
3x+8y=-1
Допустим, мы хотим избавиться от x. Для этого домножим первое уравнение на 3, а второе на 2, чтобы коэффициент перед x совпал в обоих уравнениях (6x)
6x+15y=45
6x+16y=-2
Теперь видно, что если вычесть второе уравнение из первого (или наоборот), получим 6x-6x=0, а значит x уйдет полностью.
-y=47
y=-47
Далее действуем также, как и в прошлый раз. Подставляем y в любое уравнение. Пускай сюда 2x+5y=15
2x+5*(-47)=15
2x-235=15
2x=250
x=125
Ответ: (125;-47)
Надеюсь, хоть как-то смог помочь.
1) Метод подстановки.
Зачастую самый удобный способ решения. Суть довольна проста: выразить одну из неизвестных из одного уравнения системы и подставить во второе. Продемонстрирую данный метод на первой системе.
6x-7y=2
3x-4y=46
В данном случае будет удобно выразить 3x из второго уравнения системы. Сделаем это.
3x=46+4y
Теперь подставляем наш 3x в первое уравнение системы вместо 6x, предварительно умножив его на два, т.к. 3x*2=6x
2(46+4y)-7y=2
Получилось простейшее линейное уравнение с одним неизвестным. Находим y.
92+8y-7y=2
y=2-92=-90
Теперь, когда нам известна одна из переменных, найти вторую не составит труда. Подставляем ее в любое уравнение системы. Я выберу вот это 3x=46+4y.
3x=46+4*(-90)
3x=46-360
3x=-314
x=-314/3
Ответ: (-314/3;-90)
2) Метод сложения (вычитания).
Суть этого метода в том, чтобы сложить два уравнения системы, либо вычесть одно из другого, чтобы избавиться от одной из переменных и получить линейное уравнение с одной переменной. Возьмем вторую систему.
2x+5y=15
3x+8y=-1
Допустим, мы хотим избавиться от x. Для этого домножим первое уравнение на 3, а второе на 2, чтобы коэффициент перед x совпал в обоих уравнениях (6x)
6x+15y=45
6x+16y=-2
Теперь видно, что если вычесть второе уравнение из первого (или наоборот), получим 6x-6x=0, а значит x уйдет полностью.
-y=47
y=-47
Далее действуем также, как и в прошлый раз. Подставляем y в любое уравнение. Пускай сюда 2x+5y=15
2x+5*(-47)=15
2x-235=15
2x=250
x=125
Ответ: (125;-47)
Надеюсь, хоть как-то смог помочь.
Ответ дал:
0
вообще их три. метод подстановки, метод сложения и графический метод
Вас заинтересует
2 года назад
2 года назад
7 лет назад
7 лет назад
9 лет назад
10 лет назад