• Предмет: Алгебра
  • Автор: Alenka2304
  • Вопрос задан 9 лет назад

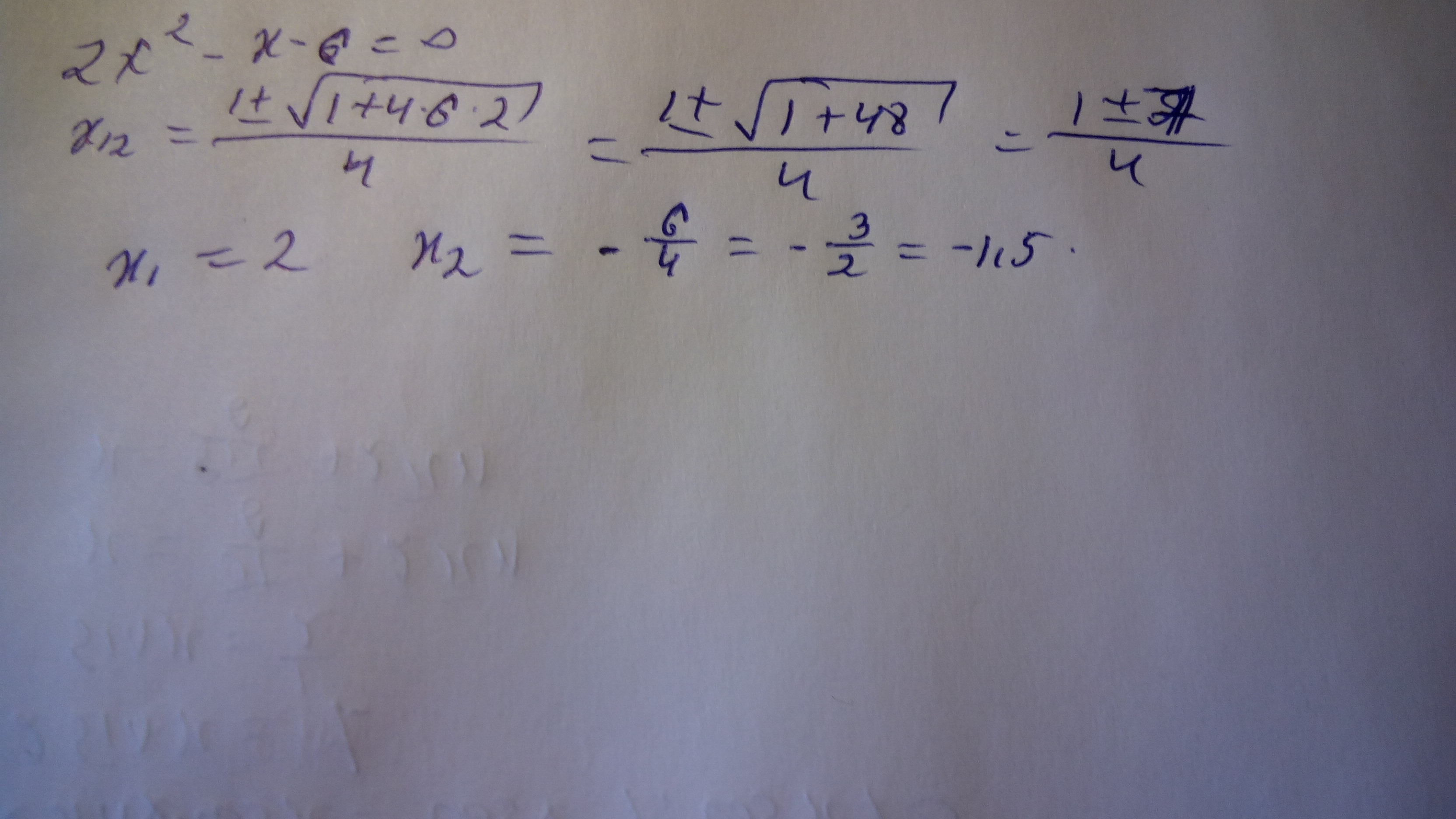
решите пожалуйста уравнение 2х^2-х-6=0

Ответы

Ответ дал: Алкадиеныч
0
Решение на фотографии
Приложения:
Вас заинтересует