Пожалуйстаа, помогиитеее, сломала себе всю голову!!!
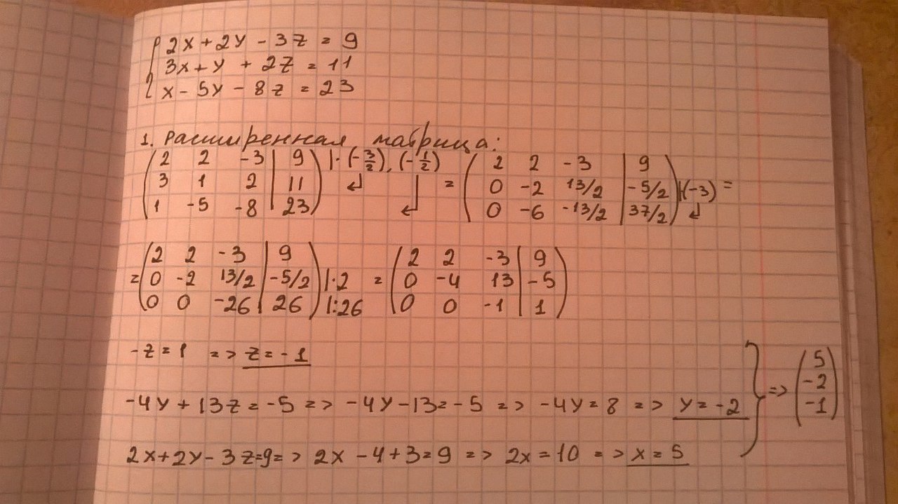
Решите систему уравнений методом исключения переменных(методом Гаусса), проверить методом Крамера. Нужна система, которая обведена
Приложения:
Ответы
Ответ дал:
0
1. решаем по методу Гаусса.
2. проверка по правилу Крамера,
где
Δ - определитель исходной матрицы
Δ1,2,3 - из Δ убираем 1,2,3 столбец и вместо него подставляем свободный член
2. проверка по правилу Крамера,
где
Δ - определитель исходной матрицы
Δ1,2,3 - из Δ убираем 1,2,3 столбец и вместо него подставляем свободный член
Приложения:
Вас заинтересует
2 года назад
10 лет назад
10 лет назад
10 лет назад
10 лет назад