Ребят помогите плзззз;33 !!!
1)диагональ осевого сечения цилиндра равна 52 см. угол между этой диагональю и образующей цилиндра равен 30°. Найдите: a) высоту цилиндра; б) радиус цилиндра; в) площадь основания цилиндра
Приложения:

Ответы
Ответ дал:
0
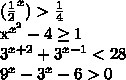
2 неравенство не решила, остальное на фото, цилиндр еще не проходила
Приложения:

Вас заинтересует
7 лет назад
9 лет назад
9 лет назад