• Предмет: Алгебра
  • Автор: zaripovasaikal
  • Вопрос задан 9 лет назад

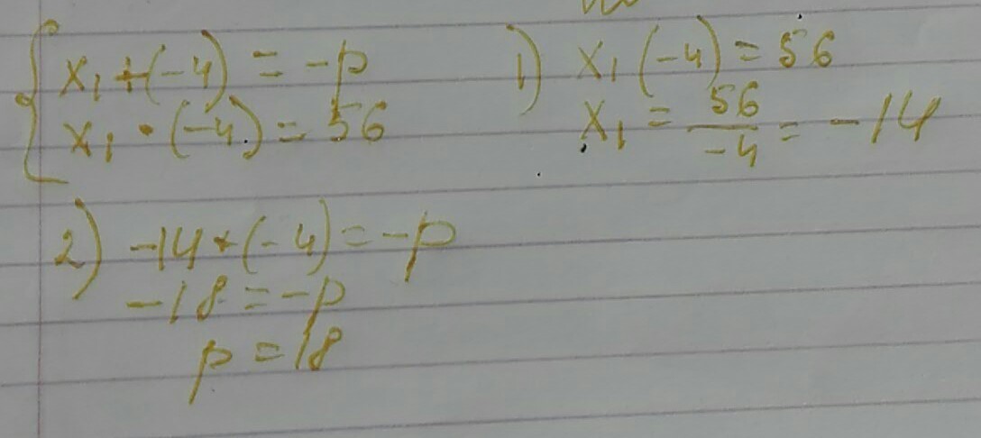
"В уровнении x^2+px+56=0 один из его корней равен -4. Найти корень уровнения и коэфицент p." Помогите пожалуйста.

Ответы

Ответ дал: AliceMagic
0
по теореме виета
надеюсь, тебе видно
Приложения:
Вас заинтересует