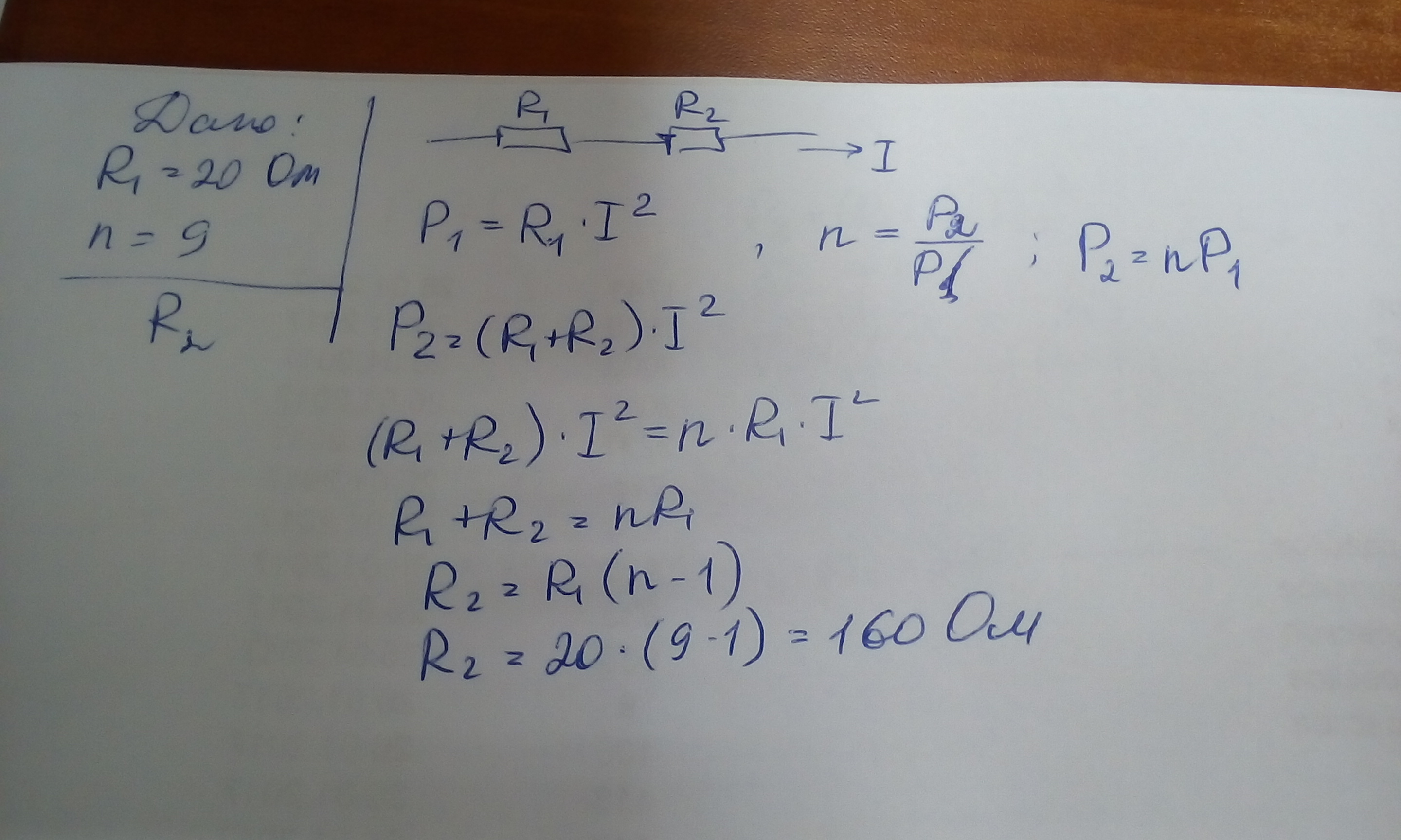
Помогите пожалуйста, очень нужно! при подключении сопротивления=20 ом К сети выделяется мощность P1.какое сопротивление R2 следует подключить последовательно к сопротивлению R1 Чтобы мощность на нем уменьшилась в n=9,0 раз
Ответ вроде бы 40 Ом.
Ответы
Ответ дал:
0
Вот решение............
Приложения:

Вас заинтересует
2 года назад
2 года назад
7 лет назад
7 лет назад
9 лет назад
9 лет назад
10 лет назад